53+ teaching one point perspective to elementary students

Draw a set of trees that get smaller. Perspective is such an important art concept for students to learn but it can be difficult to teach.


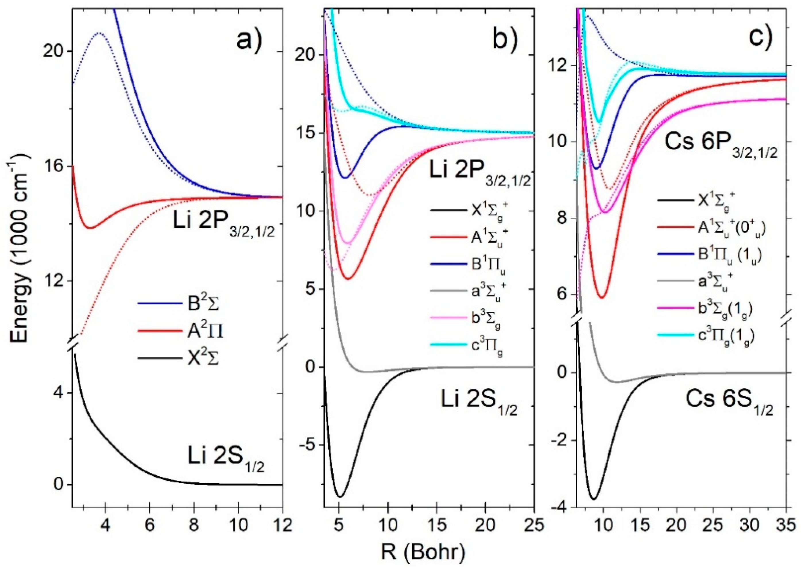
Atoms Free Full Text High Temperature Optical Spectra Of Diatomic Molecules At Local Thermodynamic Equilibrium Html

One way to accomplish this is by teaching our students to change or switch the pronouns in a story.

. See more ideas about teaching school reading teaching reading. More Point of View and Perspective Resources NEW. Add a dashed center line horizon and clouds.

First divide a whiteboard into three sections. Follow the guides to draw a road. When we help our students understand the importance of switching the pronouns they use we can help them develop a different.

Keep in mind that this is still happening at a very simplistic level. On this post I will share tips to help you teach point of view to your students including what skills students need before instruction on point of view all of the different point of view subskills that really increase the rigor and strategies that you can do when students. See more ideas about perspective art.

1st person 2nd person and 3rd person. If youre teaching point of view and perspective to 4th-6th graders I would HIGHLY recommend incorporating paired passages into your teaching of these concepts. Next select one student to perform an everyday activity such as making a sandwich.

This point of view freebie include 2 printables - one cut and paste activity for practicing point of view in fiction and one reading comprehension activity in a nonfiction but very biased text. This hands-on activity will help students gain a more concrete understanding of the three main points of view. Most drawing books that include the great outdoors though are either really simple for the very young or rely on guides more appropriate for middle or high schoolers.

During these years the childs perspective-taking skills should continue to grow. Teaching perspective to elementary middle and high school students also involves demonstrating perspective-taking. This is a 22 page packet of worksheets on one and two-point perspective.

I created these in some super fun formats to make it extra engaging for your students. There is an introduction page that explains one and two-point perspective gives examples and vocabulary. The child should develop the ability to guess what people are thinking or feeling based on their behaviors and understand their motivation for certain behaviors.

Many students struggle with the c. Trace and color with markers. Begin by drawing a series of blocks in one point perspective above and below the vanishing point.

Landscape drawing can teach children so many valuable lessons. Teaching point of view and perspective is another tricky reading skill for 4th and 5th grade readers. Dec 13 2020 - Explore Leah Newton Arts board One Point Perspective Art Project Ideas for Kids followed by 4325 people on Pinterest.

Start the buildings on one side. This writing unit using RJs Palacios popular book Wonder is a great way to practice point of view with your 3rd 4th and 5th grade students. Add windows doors and details.

Point of View followed by 215 people on Pinterest. There are five pages of one-point worksheets on boxes letters odd shapes stars and everyday objects. Draw a City with One Point Perspective.

This visual art worksheet covers the drawing basic one point perspective and is perfect for upper elementary art middle school art and high school art students. They can learn about different buildings cultures climates and of course. Draw a car somewhere on the road.

May 8 2016 - Explore Ruths board Teaching.


2


51 Awesome Free T Shirt Mock Ups Psd Clothing Mockup Tshirt Mockup Shirt Mockup


2


Calameo Algebra Lineal


Atoms Free Full Text High Temperature Optical Spectra Of Diatomic Molecules At Local Thermodynamic Equilibrium Html


2


Lesson Plans The Art Of Education University Art Lessons Middle School Middle School Lesson Plans Painting Lesson Plans


Science Vision Statements


El Uso Del Progresivo Considerando La Hipotesis Del Aspecto En Alumnado Universitario Con Instruccion En Ingles Como Lengua Extranjera Un Estudio De Adquisicion De Segundas Lenguas Basado En Un Corpus De Aprendices


2


2


2


Strong Women Don T Play The Victim Single Women Quotes Woman Quotes Life Quotes


2


Science Vision Statements

Iklan Atas Artikel

Iklan Tengah Artikel 1

Iklan Tengah Artikel 2

Iklan Bawah Artikel